|
Citation: Erikstad, K. E., T. K. Reiertsen,
R. T. Barrett, F. Vikebø, and H. Sandvik (2013)
Seabird–fish interactions:
the fall and rise of a common guillemot Uria aalge population.
Marine Ecology Progress Series, 475,
267–276; 481, 305 [erratum].
doi:
10.3354/meps10084
[what’s a doi?].
Key words: Barents Sea, Gadus morhua,
numerical ocean model, population model,
predator–prey interaction.
Abstract:
A major challenge in population ecology is the prediction of population responses to
environmental variance. Food availability has long been hypothesized to play a
major role in regulating seabird populations. In general, seabirds feed on small
pelagic fish and/or young age classes of larger predatory fish. Here we used a
logistic population model to predict the temporal variation in the population size of
common guillemots Uria aalge in a colony in NE Norway (Hornøya)
between 1987 and 2011 in relation to the variation in abundance (acoustic and
trawl surveys) of important fish prey species in the Barents Sea. The fish species
considered, all of which have been described in the diet of common guillemot chicks
and adults on Hornøya, were capelin Mallotus villosus (all age classes),
1-group herring Clupea harengus and 0-group cod Gadus morhua.
The guillemot population collapsed by more than 80% during the winter 1986/1987,
when the abundance indices of all fish prey species were very low, but has since
steadily increased. The annual variation in population growth rate after the
population collapse could best be explained by the variation in abundance of
0-group cod (unlagged), and the 0-group cod and capelin 6 and 4 yr earlier,
respectively (equalling the age of maturation of guillemots). We also present
a numerical ocean model to identify mechanisms affecting spatio-temporal
prey availability of 0-group cod around the colony during the breeding season.
These results undermine earlier focus on the capelin stock as the main cause
of the population crash in common guillemots.
Full text: © 2013 Inter-Research. If you accept
(i) that further reproduction, and all further use other than for personal research,
is subject to permission from the publisher
(Inter-Research), and
(ii) that printouts have to be made on recycled paper,
you may download the article here
(pdf, 0.9 MB).
Supplementary material: Supplements 1 and 2 are
available here
(pdf, 0.2 MB)
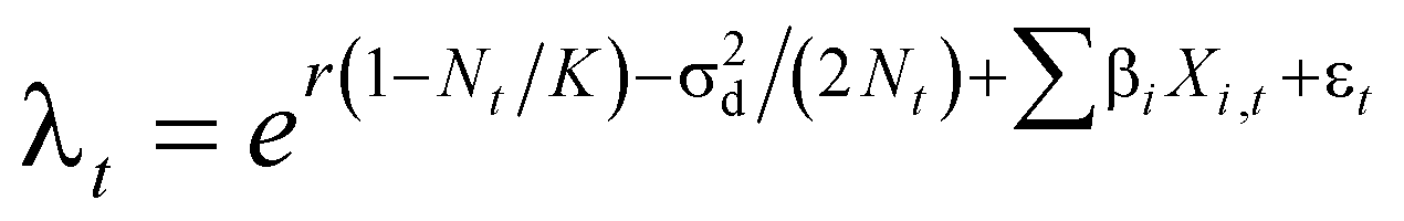
Erratum: Equation 1 has been rendered incorrectly in print (cf. the
erratum).
The correct equation is: 
[back / tilbake]
|