Citation: Sandvik, H., K. E. Erikstad, R. T. Barrett, and N. G. Yoccoz (2005) The effect of climate on adult survival in five species of North Atlantic seabirds. Journal of Animal Ecology, 74, 817–831.

doi: 10.1111/j.1365-2656.2005.00981.x [what’s a doi?].

Key words: Adult mortality, Barents Sea, fish stock biomass, North Atlantic Oscillation, sea surface temperature.

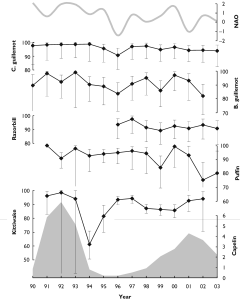
The article’s Fig 1:
adult survival of five seabird species on HornøyaAbstract:
1.
In long-lived species, adult survival is an important life-history trait. Better knowledge of the effects of non-catastrophic climate variation on the adult survival of longlived seabirds is therefore needed. However, documentation of such effects is still rare.
2. Using capture–mark–resighting data, we modelled the annual survival rates of five species of seabirds, the common guillemot (Uria aalge), Brünnich’s guillemot (Uria lomvia), razorbill (Alca torda), Atlantic puffin (Fratercula arctica) and black-legged kittiwake (Rissa tridactyla). The data spanned 14 years of observation at a colony on Hornøya, off Northern Norway in the western Barents Sea.
3. A method of taking into account ring-loss of marked individuals is proposed. This approach made it possible to keep many observations which otherwise would have to be discarded.
4. The estimated survival rates were higher and less variable than most estimates for the same species from other colonies. There was extensive resighting heterogeneity. Ignoring this effect would have underestimated breeding life span by more than 50% in some species.
5. The analysis presented is the first study to document a correlation between the North Atlantic Oscillation (NAO) index and adult survival in North Atlantic seabirds. Other environmental variables considered were sea surface temperatures (SST) and prey stocks. In most of the species, models incorporating climatological variables were considerably better supported than models with constant survival, time-dependent survival or prey effects. SSTs tended to explain more of the variability in seabird survival than did the NAO.
6. The importance of prey availability was evident in some of the species, but climate was generally a better predictor of survival. Nevertheless, the evidence suggests that meteorological parameters affect seabird mortality only indirectly, possibly through the food chain. This conclusion rests on the observations that most NAO effects are lagged, and that survival rates decreased with increasing SSTs.

Full text: © 2005 British Ecological Society. If you accept (i) that further reproduction, and all further use other than for personal research, is subject to permission from the publisher (Wiley-Blackwell), and (ii) that printouts have to be made on recycled paper, you may download the article here (pdf, 0.2 MB).

Supplementary material: A pdf file containing Tables A1 and A2 can be downloaded here (0.1 MB).

Note (added after proof): Grosbois & Thompson (2005) have shown adult survival of fulmars (Fulmarus glacialis) to be influenced by the NAO. The statement that our analysis "is the first study to document a correlation between the NAO index and adult survival in North Atlantic seabirds" should thus be modified to "one of the first studies".

 

[back / tilbake]